Предмет: Алгебра,
автор: popovandrey0306
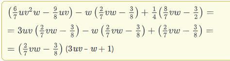
Представь многочлен в виде произведения и заполни пропуски.
=
(
uv –
+
)
asselniazbek:
это онлаин мектеп
Ответы
Автор ответа:
11
Ответ:
вот смотрите на картинке написано
Приложения:
Похожие вопросы
Предмет: Английский язык,
автор: Аноним
Предмет: Математика,
автор: rusakzm
Предмет: Українська мова,
автор: ilona43
Предмет: Физика,
автор: milakim99
Предмет: Литература,
автор: 25Арина537