Предмет: Математика,
автор: Аноним
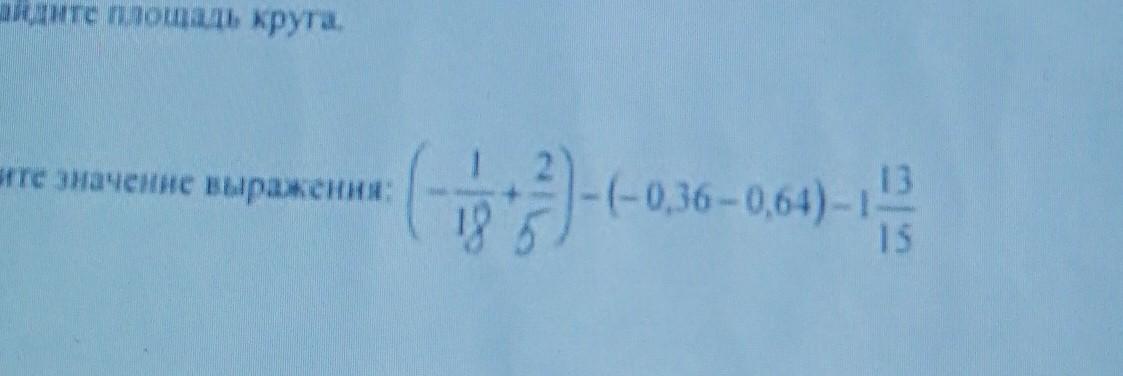
8. Найдите значение выражения:
(-0,36-0,64) -
15
12
15
Приложения:
Ответы
Автор ответа:
9
Ответ:
Пошаговое объяснение:
Приложения:
elviraamulova1986:
спасибо
Пожалуйста
Похожие вопросы
Предмет: Русский язык,
автор: lisa9551
Предмет: Английский язык,
автор: Extantel
Предмет: Українська література,
автор: khimichdanya
Предмет: История,
автор: Keksik0Nam
Предмет: Химия,
автор: ira339