Предмет: Алгебра,
автор: leefelix03
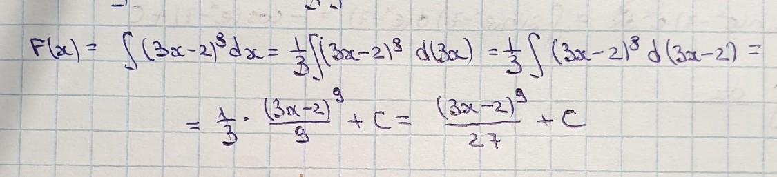
Написать общий вид первообразных f(x)=(3x-2)^8
У меня есть решение , но я не знаю правильно ли и можно ли решить другим удобным способом
Приложения:
Ответы
Автор ответа:
1
Ответ:
Первообразная (F(x)) - это функция (а не точка), которая ищется интегрированием другой функции (f(x))
Объяснение:
Находим интеграл от (3x-2)^8, для этого преобразовываем дифференциал (dx). добавляем 1/3 * 3 и тройку заносим под знак дифференциала: d(3x), 1/3 остаётся за интегралом. Константу можно добавить "просто так", ведь производная простого числа - 0, и получаем d(3x-2). Далее интегрируем это выражение как одну переменную: интеграл от а равен а^2/2. здесь интеграл от а^8 = а^9/9. Получаем ответ, не забываем С
Приложения:
leefelix03:
Спасибо огромное!!!Я задала вопрос по алгебре,там 3 примера...Не могли бы вы помочь пожалуйста?!Максимум баллов даю..
Похожие вопросы
Предмет: Русский язык,
автор: medwedew71
Предмет: Английский язык,
автор: manka20112011
Предмет: Литература,
автор: nikita2014956
Предмет: Биология,
автор: RL3e
Предмет: Математика,
автор: Maryyn