Предмет: Математика,
автор: 555haiKai
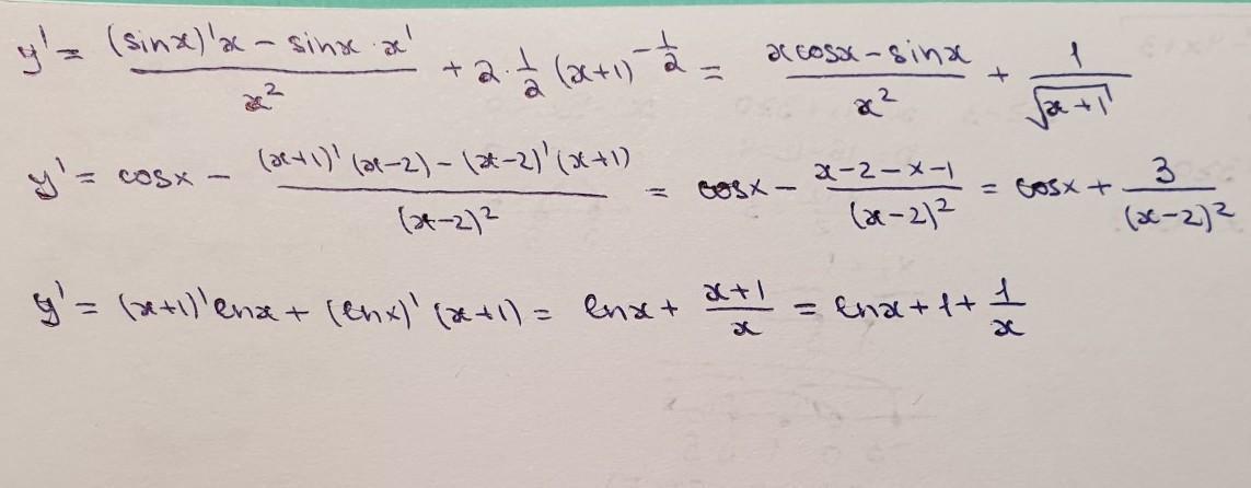
найдите производную,используя правила дифференциацирования
Приложения:
Ответы
Автор ответа:
2
Ответ:
решение на фотографии
Приложения:
markusyrs:
Здравствуйте, помогите пожалуйста вопрос в профиле там один интеграл 3) пожалуйста
Похожие вопросы
Предмет: Другие предметы,
автор: yagafarova74010
Предмет: Литература,
автор: vadik17823
Предмет: Русский язык,
автор: AnyutaSamarceva
Предмет: Алгебра,
автор: lerap3