Предмет: Алгебра, автор: chelovec0071

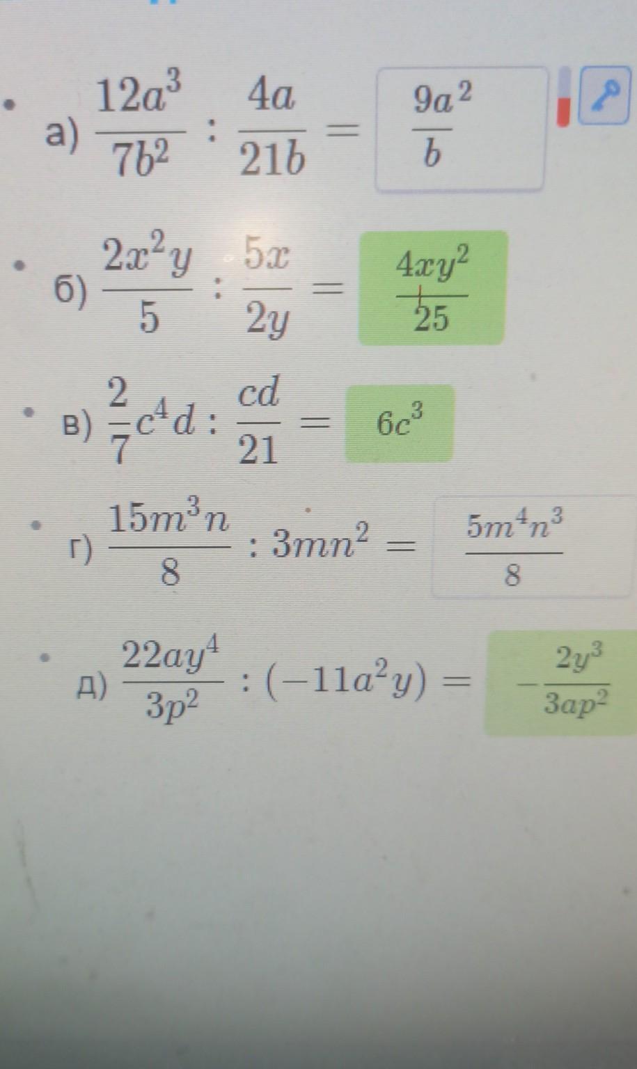
вопрос как это решить А и Г помогите пожалуйста​

Приложения:

Ответы

Автор ответа: rasulserikuly
2

Ответ:

 \frac{ {12a}^{3} }{ {7b}^{2} }  \div  \frac{4a}{21b}  =  \frac{ {7b}^{2} } {{ {12a}^{3} }}  \times \frac{4a}{21b} =   \frac{{28ab}^{2}}{252a {}^{3} b}  = \frac{{28b}^{}}{252a {}^{2} } = \frac{{b}^{}}{9a {}^{2} }

2 задание я не знаю

точнее Г


chelovec0071: неа не правильно
chelovec0071: ну пишет не правильно
chelovec0071: вы можете помочь с географием ?
Похожие вопросы
Предмет: Английский язык, автор: Dina75