Предмет: Алгебра,
автор: Ivantea555
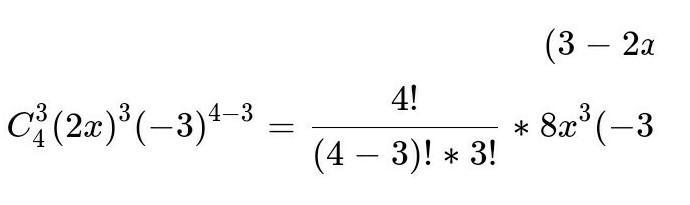
найдите коэффициент при x3 в биномиальном разложении (3 - 2х)4 СРОЧНО!!!!!!!!!!!!!!
Ответы
Автор ответа:
22
ответ:-96
решение смотри на фотографии
Приложения:
indirkaisina73:
Ок, а как будет, коэффициент при x3 в биномиальном (4-2х)^4 ? Помоги плиз
Найс конечно половины нет
НУ БЛЕН НЕ ВИДНО ПОЛОВИНЫ
МОЖНО ФУЛЛ
ну так есть ответ при (4-2х)^4???
скажите пжжжж
Похожие вопросы
Предмет: Русский язык,
автор: svetikserj
Предмет: Английский язык,
автор: Аноним
Предмет: Русский язык,
автор: kozyreva76
Предмет: Алгебра,
автор: apurkina