Предмет: Алгебра,
автор: anastasiaburaga88
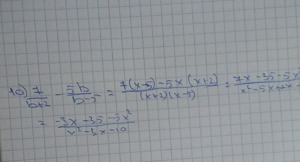
номер 10, пожалуйста!
Приложения:
Ответы
Автор ответа:
0
Объяснение:
дадаьалдвжввббадыдвлв
Приложения:
anastasiaburaga88:
тут другое задание, нужно найти значения, при которых это выражение может действительно существовать
Похожие вопросы
Предмет: Русский язык,
автор: X08
Предмет: Английский язык,
автор: 1302alya
Предмет: Русский язык,
автор: 66Unicorn66
Предмет: Информатика,
автор: igorkyrilo1997
Предмет: Математика,
автор: ика4жкласс1