Предмет: Математика,
автор: toxopic254
дам 20 баллов!! 10класс помогите с матешей умоляю
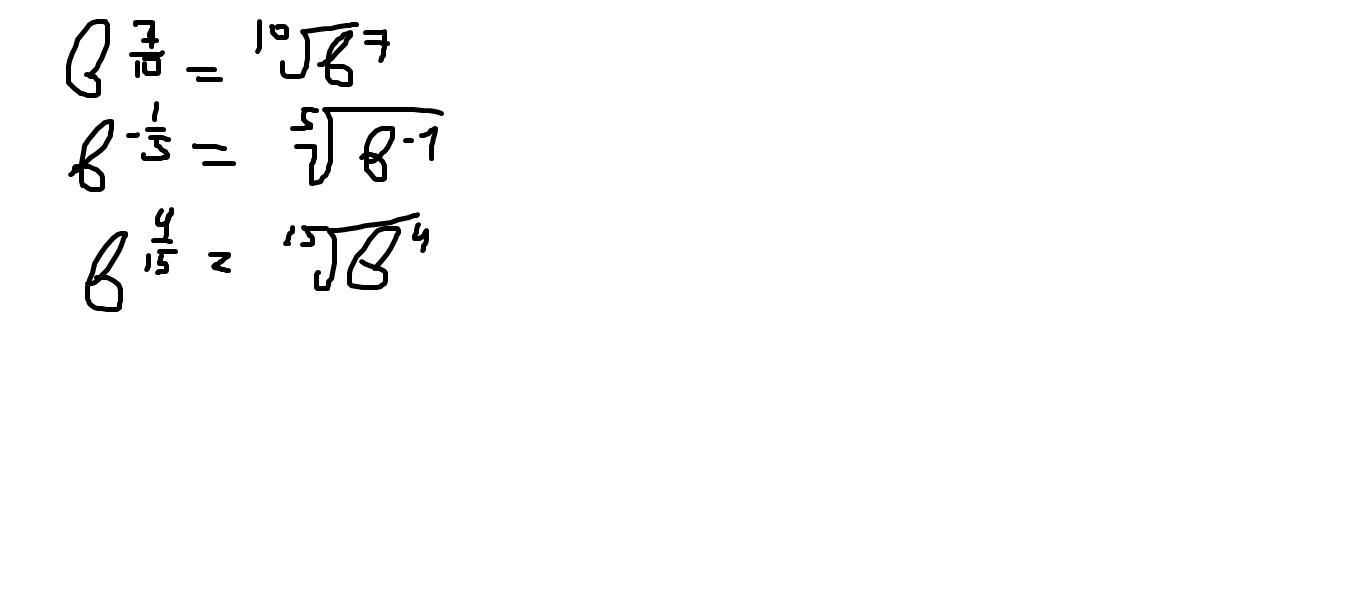
представить в виде степени: b7/10 b-1/5 b4/15
toxopic254:
это очень нужно умоляяяю
Ответы
Автор ответа:
1
Ответ:
Внизу.
Пошаговое объяснение:
Приложения:
Похожие вопросы
Предмет: Українська мова,
автор: wwwmaruska2009
Предмет: Русский язык,
автор: shvedova87
Предмет: Русский язык,
автор: Виктораз
Предмет: ОБЖ,
автор: nikastezkaowl9vp
Предмет: Математика,
автор: егор1420