Предмет: Алгебра,
автор: elizaveta11222003
найдите пожалуйста значение выражения
Приложения:
Ответы
Автор ответа:
1
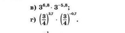
Ответ:
в) 3
г) 27/64
Объяснение:
в) 3^6,8-5,8
3^1 = 3
г) (3/4)^3,7-0,7
(3/4)^3=27/64
Похожие вопросы
Предмет: Английский язык,
автор: vesta2000
Предмет: Другие предметы,
автор: roladar
Предмет: Русский язык,
автор: yana5642
Предмет: Литература,
автор: Nik123ret
Предмет: Алгебра,
автор: sambishop