Предмет: Математика, автор: alenadances1

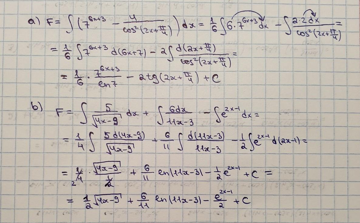
y'=?\\a) y= ln\sqrt[3]{\frac{7x^{3} -5}{4x^{2} } }\\b) y=(7x^{4}-3 )^{tgx} \\\\F(x)=?\\a)f(x)=7^{6x+3}-\frac{4}{cos^{2}(2x+\frac{\pi }{4} ) } \\b)f(x)=\frac{5}{\sqrt{4x-9} } +\frac{6}{11x-3} -e^{2x-1} \\

Ответы

Автор ответа: Miroslava227
1

Ответ:

решение на фотографиях

Приложения:
Похожие вопросы
Предмет: Русский язык, автор: veronikanikap
Предмет: Русский язык, автор: iraackopian
Предмет: Математика, автор: ситора19