Предмет: Математика, автор: timofeevd713

СРОЧНО!!!!!!!!!!!!!!!!!!!!!!!!!!!!!!!!!!!!!!
ПОЖАЛУЙСТА ПОМОГИТЕ

Приложения:

Ответы

Автор ответа: liidaa23
0

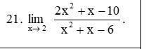
Это 2, можно разделить на Х-2 и подставить Х=2

Вроде так

Приложения:

timofeevd713: ВООБЩЕ НЕ ПОМОГЛО
liidaa23: Во втором ответ 2, как отношение коэффициентов при наибольших степенях
liidaa23: Нет, сейчас
timofeevd713: а можете решить всё ?
liidaa23: 1 не получается
liidaa23: Правило Лопиталя модно использовать?
timofeevd713: что?
liidaa23: можно*
liidaa23: переход к отношению производных
timofeevd713: хз
Похожие вопросы
Предмет: Русский язык, автор: oksanaioock
Предмет: История, автор: massik2003m