Предмет: Математика,
автор: Аноним
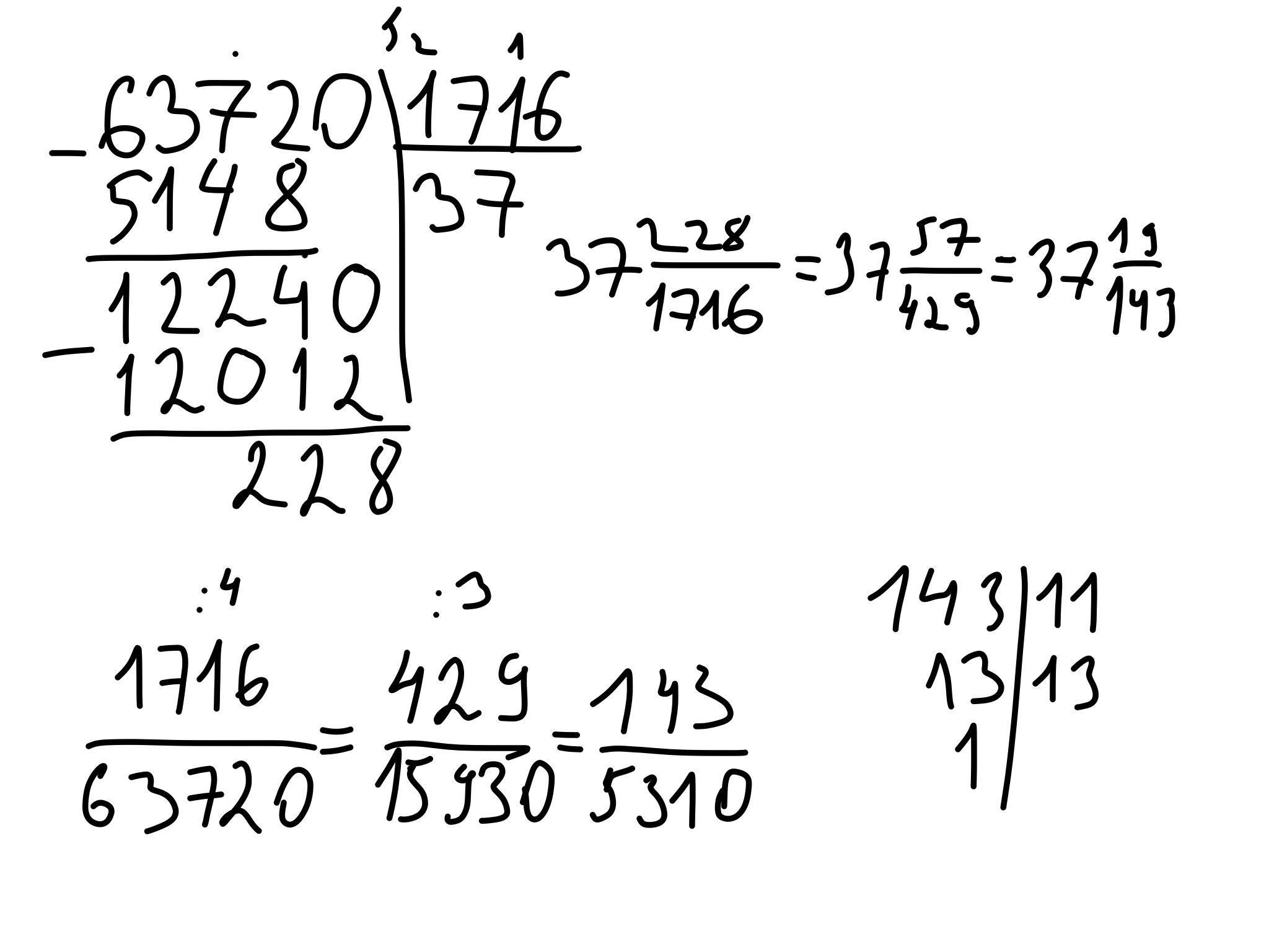
1716 какая это часть от 63720
Ифигения:
Тебе не нужно в процентах находить ответ?
зачем?
Ответы
Автор ответа:
0
Ответ:
37
Пошаговое объяснение:
Прсто поделить большое число на меньшее
Автор ответа:
1
Ответ: 143/5310
Пошаговое объяснение:
Приложения:
Похожие вопросы
Предмет: Русский язык,
автор: марфа8
Предмет: Русский язык,
автор: k300683
Предмет: Русский язык,
автор: Vlad17ru1980
Предмет: Алгебра,
автор: OhilyaGamer
Предмет: Литература,
автор: Faina44