Предмет: Математика,
автор: pugovka21
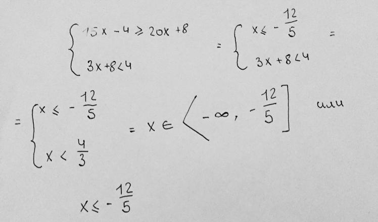
Решите систему
Помогите, пожалуйста
Приложения:
Ответы
Автор ответа:
1
Ответ выведен на фото, надеюсь этот ответ, поможет вам)
Приложения:
Похожие вопросы
Предмет: Русский язык,
автор: givon
Предмет: Русский язык,
автор: shenyalebedev
Предмет: Беларуская мова,
автор: mozoll
Предмет: Физика,
автор: ogloblinaveronika
Предмет: Биология,
автор: Амалия2007