Предмет: Алгебра, автор: superpochta001

СИСТЕМЫ ПОКАЗАТЕЛЬНЫХ И ЛОГАРИФМИЧЕСКИХ УРАВНЕНИЙ
50баллов Алгебра

Приложения:

lidiasaraa3: из 1 уравнения х=2. тогда 16*5^у=16. 5^у=1.у=0. ответ:(2;0)

Ответы

Автор ответа: ganiyevazuxra6
2

Ответ:

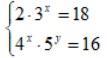
2 \times  {3}^{x}  = 18 \\  {4}^{x}  \times  {5}^{y}  = 16

=>

1)2 \times  {3}^{x}  = 18 \\  {3}^{x} = 18 \div 2 \\  {3}^{x}   = 9 \\  {3}^{x}  =  {3}^{2}  \\ x = 2

=>

2) {4}^{2}  \times  {5}^{y}  = 16 \\ 16 \times  {5}^{y}  = 16 \\  {5}^{y}  = 16 \div 16 \\  {5}^{y}  = 1 \\  {5}^{y}  =  {5}^{0}  \\ y = 0

(x,y)=>(2,0)


superpochta001: Спасибо большое вам тоже
Похожие вопросы
Предмет: Музыка, автор: Аноним