Предмет: Математика,
автор: Аноним
помогите пожалуйста даю 35 баллов
Приложения:
rozhkovalexey:
ок ща
можешь если тебе это еще надо 3 вопр в комменты написать
я устал даьше не могу можно завтра подумаю ?
Ответы
Автор ответа:
1
Ответ:
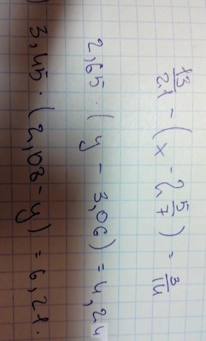
3 23/42
Пошаговое объяснение:
1. 13/21 - (х-2 5/7) =3/14,
х-2 5/7=3/14 + 13/21, тут к общему знаменателю - 3/14 = 9/42, 13/21 = 26/42
х-2 5/7= 35/42,
x= 35/42 + 2 5/7, тоже к общему - 5/7 = 30/42
x= 2 65/42= 3 23/42,
ответ: 3 23/42.
Похожие вопросы
Предмет: Русский язык,
автор: VikaDuakonova
Предмет: Русский язык,
автор: ulakbzar
Предмет: Русский язык,
автор: AlinaSmile72
Предмет: Математика,
автор: iroda0805871
Предмет: Математика,
автор: dastan24