Предмет: Математика, автор: bekazada140067

номер 418 2)Запишите смешанное число в виде неправильной дроби.Только 2)!!!

Приложения:

Ответы

Автор ответа: sachok1802
14

Ответ:

Пошаговое объяснение:

2\frac{1}{3} = \frac{7}{3}

4\frac{1}{2} = \frac{9}{2}

3\frac{5}{8} = \frac{29}{8}

5\frac{2}{9} = \frac{47}{9}

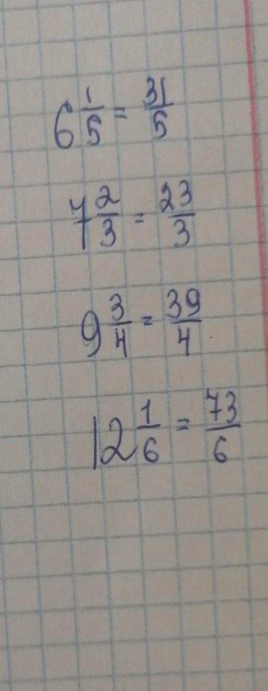
6\frac{1}{5} = \frac{31}{5}

7\frac{2}{3} = \frac{23}{3}

9\frac{3}{4} = \frac{39}{4}

12\frac{1}{6} = \frac{73}{6}

Автор ответа: yalu
6

Пошаговое объяснение:

Играю в игру с подругой и играю в игру с подругой и играю в игру с подругой и играю в игру с подругой и играю в игру с подругой и играю в игру с подругой и играю в игру с подругой

Приложения:
Похожие вопросы
Предмет: Русский язык, автор: Аноним
Предмет: Математика, автор: Turkane1989