Предмет: Математика,
автор: aleksandrsperl
10:(25-в^4) + 1:(5+в^2)-1:(5-в^2) больше 0,доказать
Приложения:
Ответы
Автор ответа:
1
Пошаговое объяснение:
Приложения:
aleksandrsperl:
спасибо
Автор ответа:
1
Ответ:
Пошаговое объяснение:
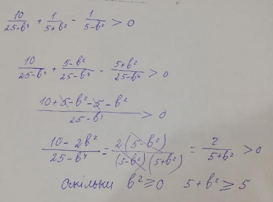
10/ (25-b⁴) + 1/ (5+ b²) - 1/ (5-b²) > 0 - доказать
Приведём дроби к общему знаменателю 25-b⁴, т.к.
25-b⁴ = (5+ b²) (5-b²)
10/ (25-b⁴) + 1/ (5+ b²) - 1/ (5-b²) =
= 10/ (25-b⁴) + 1(5-b²)/ (5+ b²)(5-b²) - 1(5+ b²)/ (5-b²)(5+ b²) =
= 10/ (25-b⁴) + (5-b²)/ (25-b⁴) - (5+ b²)/ (25-b⁴) =
= (10 + (5-b²) - (5+ b²))/ (25-b⁴) = (10 + 5-b² - 5- b²)/ (25-b⁴) =
= (10 -2b² ) / (25-b⁴) = 2(5-b²)/ (5-b²)(5+ b²) = 2/(5+ b²)
Рассмотрим дробь 2/(5+ b²). Дробь больше 0, когда её числитель и знаменатель одного знака. 2> 0, значит знаменатель тоже должен быть больше 0. Докажем, что
5+ b²>0,
b²> -5 (квадрат числа всегда больше 0 или равен 0), ч.и т.д.
спасибо
Похожие вопросы
Предмет: Английский язык,
автор: Настя795678
Предмет: Русский язык,
автор: tikluz
Предмет: Русский язык,
автор: ibarabanhcuk
Предмет: Математика,
автор: Математичка94737
Предмет: Математика,
автор: Ksusha2341