Предмет: Алгебра,
автор: coolsky
ПОЖАЛУЙСТА, БЫСТРЕЕ
С РЕШЕНИЕМ
Приложения:
Ответы
Автор ответа:
1
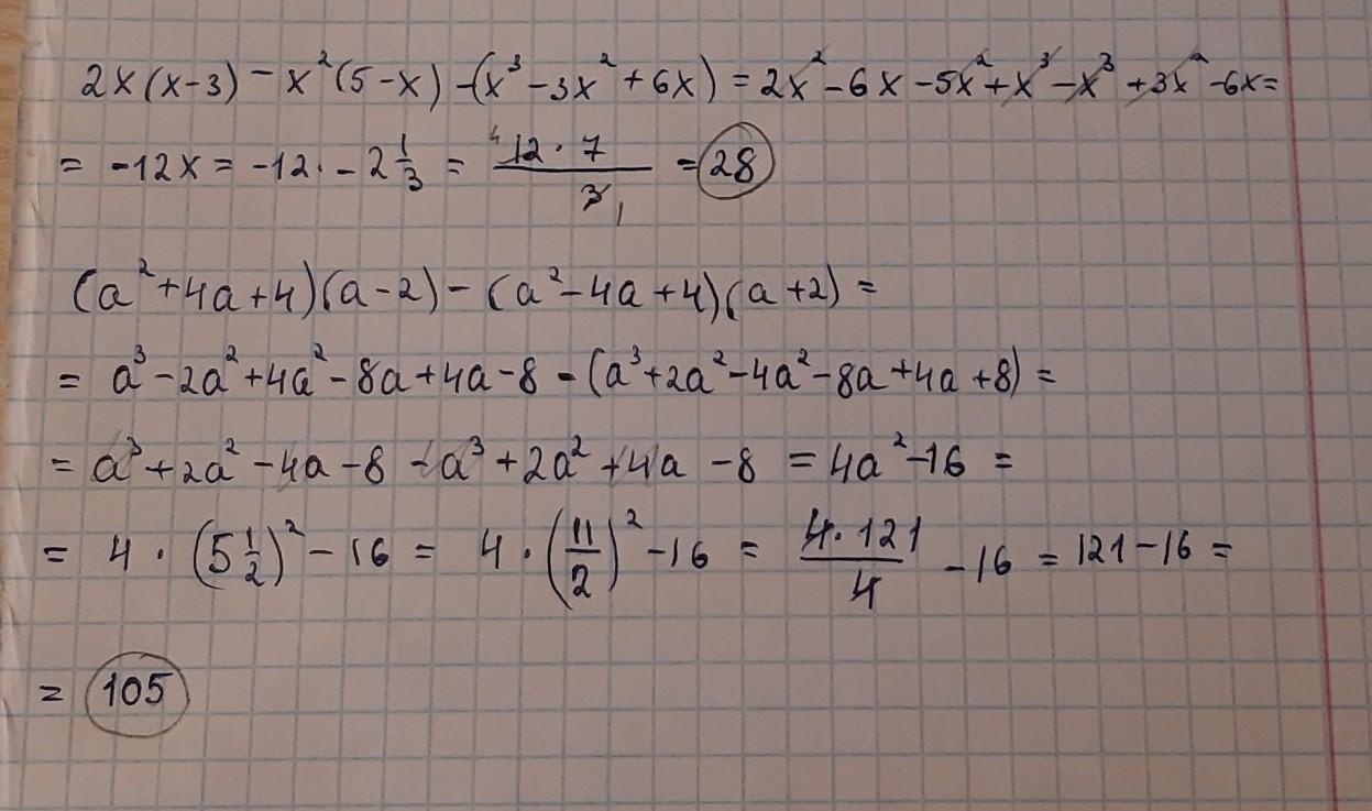
решение на фотографии
Приложения:
dyjsonkullovajanarra:
Сделать описание природы тропиков и полюсов Земли
поможешь или нет
не сможешь извени.
Похожие вопросы
Предмет: Другие предметы,
автор: kotlyarov934
Предмет: Другие предметы,
автор: stase22
Предмет: Русский язык,
автор: yanaulgulnaz
Предмет: Математика,
автор: rinat8km
Предмет: Литература,
автор: Умница00901