Предмет: Алгебра,
автор: Veronika098
Помогитеееее срочно)))
Приложения:
Ответы
Автор ответа:
0
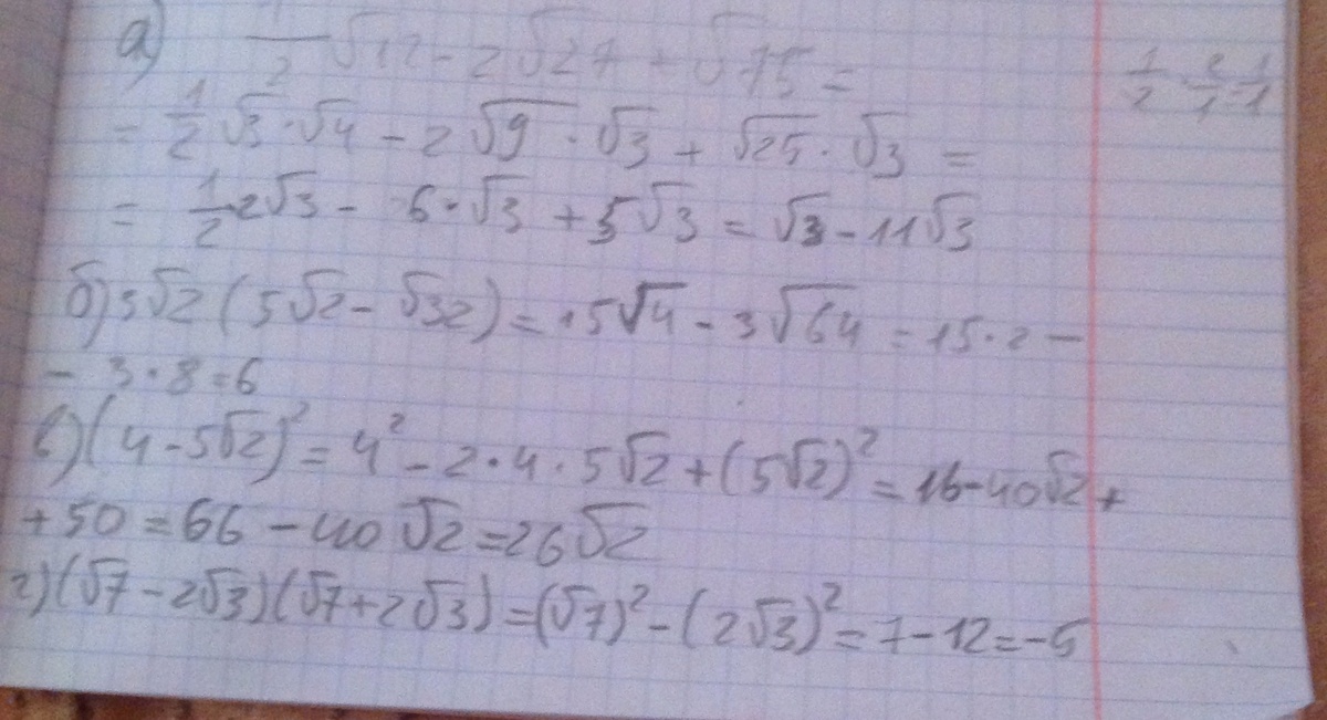
Вот во вложении)надеюсь поймешь
Приложения:
Автор ответа:
0
1/3√18+3√8-√98=1/3
2√5(√20-3√5)=2 √5(√4*5-3√5)= 2√5(2√5-3√5)= 2√5*(-√5)=-10
(√11+2√5)(√11-2√5)= √11^2 - (2√5)^2= 11-4*5=11-20=-9
(3+2√7)^2=3^2+2*3*2√7+(2 √7)^2=9+12 √7 +28=37+12 √7
2√5(√20-3√5)=2 √5(√4*5-3√5)= 2√5(2√5-3√5)= 2√5*(-√5)=-10
(√11+2√5)(√11-2√5)= √11^2 - (2√5)^2= 11-4*5=11-20=-9
(3+2√7)^2=3^2+2*3*2√7+(2 √7)^2=9+12 √7 +28=37+12 √7
Приложения:
Похожие вопросы
Предмет: Алгебра,
автор: adilovmuhammadnodira
Предмет: Математика,
автор: KatyaPogosyan
Предмет: Окружающий мир,
автор: SofiaBurger
Предмет: Алгебра,
автор: bogdanss