Предмет: Алгебра,
автор: Evelinamoskvina07
ПОМОГИТЕ! ПОМОГИТЕ! ПОМОГИТЕ! АЛЕБРА, Д/З, НЕ МОГУ РЕШИТЬ, ЖЕЛАТЕЛЬНО РАСКРЫТО
Приложения:
Ответы
Автор ответа:
1
Ответ:
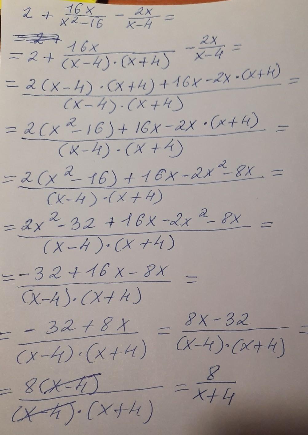
Ответ:1)б)х+у;2)а)с^2+3/с^2;б)х-3/х^2-х;4)8/х+4
Приложения:
Похожие вопросы
Предмет: Русский язык,
автор: Dariageza4
Предмет: Русский язык,
автор: dirfvxc
Предмет: Русский язык,
автор: rts431
Предмет: Информатика,
автор: FGm228
Предмет: Математика,
автор: angelina437