Предмет: Математика,
автор: guccikofeek
Помогите, пожалуйста, срочно!(
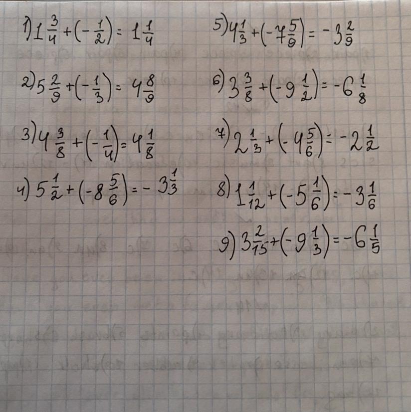
Приложения:
Ответы
Автор ответа:
1
)))))))))))))))))))))))
Приложения:
guccikofeek:
спасибо! =3
Автор ответа:
0
не всё но щас доделаю
Приложения:
Похожие вопросы
Предмет: Русский язык,
автор: 999kuzmina
Предмет: Русский язык,
автор: малышка121
Предмет: Русский язык,
автор: stykaloolesyua
Предмет: Математика,
автор: 14012008
Предмет: Математика,
автор: кот856