Предмет: Алгебра,
автор: GeniusOneTwo
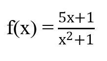
Найдите f(5)+f(1), если известно, что
Приложения:
Ответы
Автор ответа:
2
Ответ:
4
Объяснение:
f(5)+f(1)=1+3=4
Похожие вопросы
Предмет: Русский язык,
автор: juliakorotkich2
Предмет: Английский язык,
автор: aruzhanaigisin
Предмет: Другие предметы,
автор: Tata851
Предмет: Математика,
автор: akinfeev8181
Предмет: Литература,
автор: kolyaAA77777