Предмет: Математика,
автор: lerarabikova9
как это решитьььь?
пж
Приложения:
Ответы
Автор ответа:
0
Ответ:
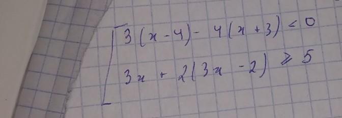
{3x - 12 -4x -12< 0 {-x<24 {x>-24
{9x - 4 >=5 {9x>=9 {x>=1 x є [1; + бесконечности)
Пошаговое объяснение:
Похожие вопросы
Предмет: Русский язык,
автор: sofifreimanis
Предмет: Қазақ тiлi,
автор: Ариана568
Предмет: Русский язык,
автор: pdvdfftc
Предмет: Физика,
автор: 19sovushka19