Предмет: Алгебра,
автор: vladlenagorlovaya
ПОМОГИТЕ ПОЖАЛУЙСТА!!!!!
Приложения:
Sofiyagordeyeyyeva:
Сейчас
Ответы
Автор ответа:
0
Ответ:
Объяснение:
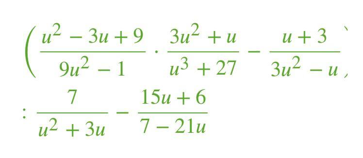
Решения все на фотографии ...
Приложения:
Похожие вопросы
Предмет: Русский язык,
автор: kazbek436
Предмет: Другие предметы,
автор: Настя735
Предмет: Русский язык,
автор: nataligolubtzo
Предмет: Математика,
автор: ilvinaildarovna
Предмет: Информатика,
автор: misskatuka