Предмет: Алгебра,
автор: pajan
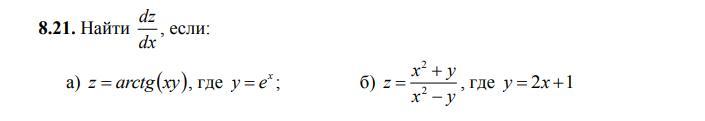
ПОМОГИТЕ ПЛИЗ СРОЧНО НУЖНО УМОЛЯЮ 40 БАЛЛОВ
Приложения:
Ответы
Автор ответа:
1
Ответ:
вроде по этой формуле, но я не уверена...
Приложения:
Похожие вопросы
Предмет: Английский язык,
автор: manikomarina
Предмет: Другие предметы,
автор: parhomenkoniko
Предмет: Русский язык,
автор: МашаЕрмилова2008
Предмет: Математика,
автор: Даша19961
Предмет: Алгебра,
автор: gtgxbh