Предмет: Математика,
автор: danilloginov7533
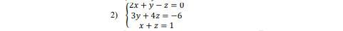
Решите систему уравнений, пользуясь формулой Крамера
систему уравнений, пользуясь формулами Крамера:
Приложения:
Ответы
Автор ответа:
1
Ответ:
решение на фотографии
Приложения:
danilloginov7533:
Спасибо
Похожие вопросы
Предмет: Другие предметы,
автор: toma8105
Предмет: Английский язык,
автор: karrriss
Предмет: Русский язык,
автор: sumayamagomedo
Предмет: Математика,
автор: Patara1986
Предмет: Алгебра,
автор: katyashach