Предмет: Другие предметы, автор: zhaikdinara

Приведите одночлен к стандартному виду и укажите его коэффициент!
Пожалуйста помогите а то мне поставят тройку((

Приложения:

Ответы

Автор ответа: zinaidazina
3

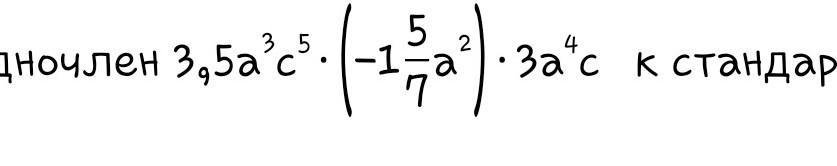
    3,5a^3c^5*(-1\frac{5}{7}a^{2})*3a^4c=

=\frac{35}{10}*(-\frac{12}{7} )*3a^{3+2+4}c^{5+1}=

=-\frac{7*12*3}{2*7}a^{9}c^{6}=-18 a^{9}c^{6}

Ответ:  -18 a^{9}c^{6}

        коэффициент (-18)


zhaikdinara: боже спасибо тебе как раз надо уже здавать))
zhaikdinara: п можешь еще решить??
Похожие вопросы
Предмет: Русский язык, автор: rardmir2411