Предмет: Алгебра,
автор: KarpenkoHik
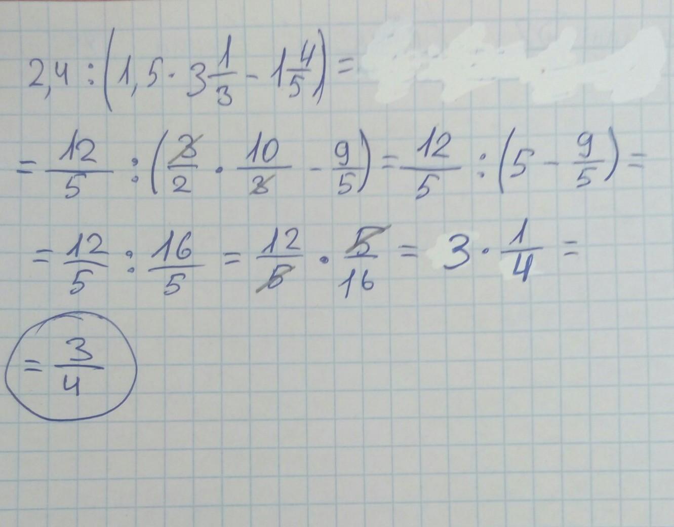
ПОЖАЛУЙСТА РЕШИТЕ ХОТЯ БЫ ЧТО ТО УМОЛЯЮ
Приложения:
Ответы
Автор ответа:
1
Объяснение:
зачёркивания это сокращение
Приложения:
Похожие вопросы
Предмет: Английский язык,
автор: Вермешелька1234
Предмет: Русский язык,
автор: alinavorob200
Предмет: Русский язык,
автор: ponyasha845218
Предмет: История,
автор: 241dsdf