Предмет: Алгебра,
автор: seven23
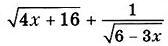
При каких значениях переменной имеет смысл выражение?
Приложения:
Ответы
Автор ответа:
0
Ответ:
х€[-4; 2)
Объяснение:
решить систему неравенств:
Похожие вопросы
Предмет: Русский язык,
автор: polina04abr
Предмет: Русский язык,
автор: kilo1
Предмет: Английский язык,
автор: Venech
Предмет: Математика,
автор: vikasafiullina
Предмет: Математика,
автор: влада145