Предмет: Алгебра,
автор: timaredYN
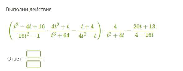
кто-нибудь помогите даю 25 баллов
Приложения:
Ответы
Автор ответа:
1
Ответ:
Похожие вопросы
Предмет: Русский язык,
автор: AgNata6
Предмет: Қазақ тiлi,
автор: madikojanaibek
Предмет: Русский язык,
автор: lagun100
Предмет: Математика,
автор: Пикачю111