Предмет: Математика,
автор: fisangabfir
Пожалуйста помогите решить эту задачу, дам все балы что есть, просто очень срочно нужно.
Приложения:
Ответы
Автор ответа:
0
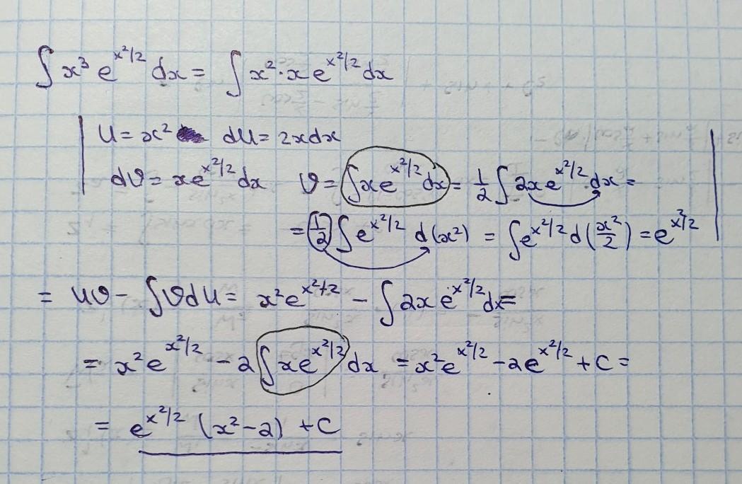
Ответ:
решение на фотографии
Приложения:
Похожие вопросы
Предмет: Русский язык,
автор: madamserezhkin1
Предмет: Русский язык,
автор: litvor007
Предмет: Русский язык,
автор: oksna21031977
Предмет: Информатика,
автор: He12022005