Предмет: Алгебра, автор: evwc88

Помогите срочно с примером​

Приложения:

tamarabernukho: 81
evwc88: это ответ?
tamarabernukho: Да
icici: спасибо

Ответы

Автор ответа: tamarabernukho
1

Ответ:

Объяснение:

.....................

Приложения:
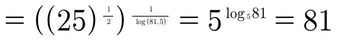
Автор ответа: sangers1959
0

Объяснение:

25^{\frac{1}{2log_{81}5}} =((5^2)^{\frac{1}{2}} )^{\frac{1}{log_{81}5}} =5^{log_581}=81.

Похожие вопросы
Предмет: Русский язык, автор: yankarimov200
Предмет: Қазақ тiлi, автор: nastya1090