Предмет: Алгебра,
автор: zlatakovas
срочно помогите с заданием
Приложения:
zlatakovas:
пошаговый ответ пожалуйста
Ответы
Автор ответа:
0
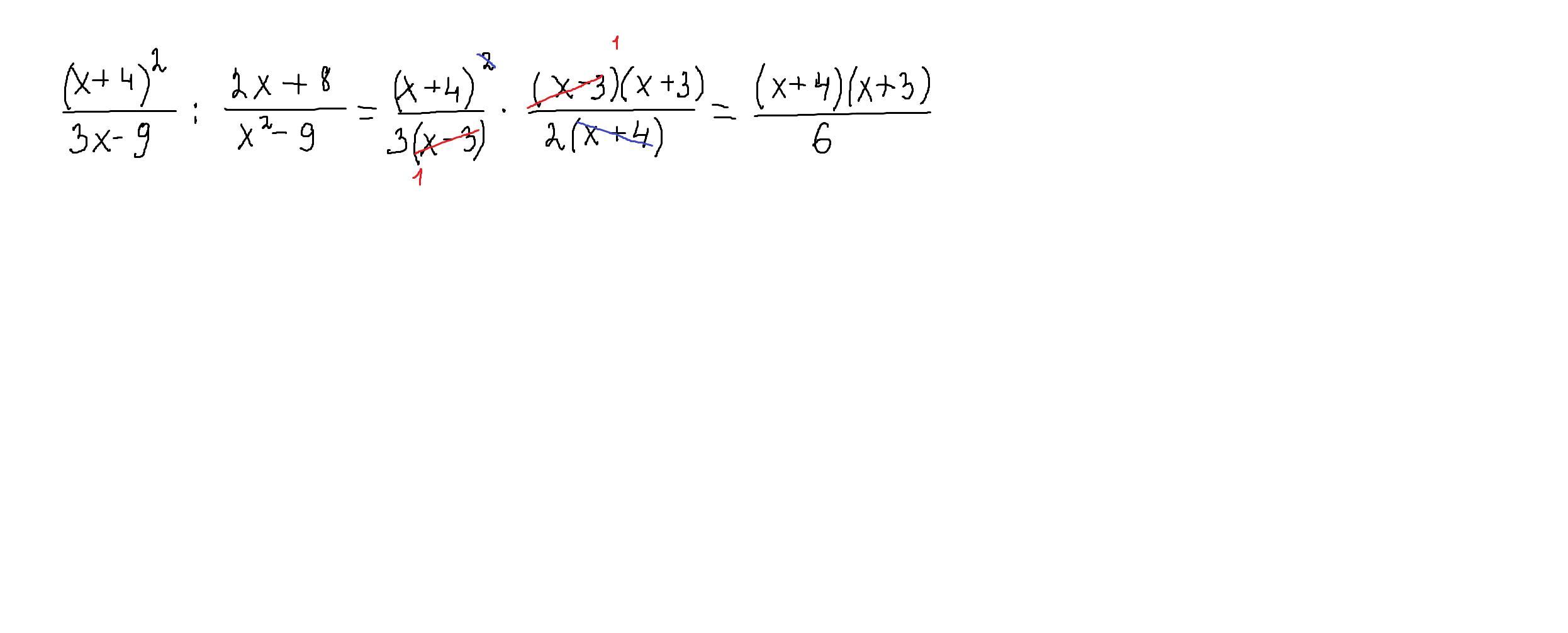
Ответ:
Объяснение:
решение внизу
Приложения:
Похожие вопросы
Предмет: Русский язык,
автор: NatusyaK280787
Предмет: Русский язык,
автор: 1Полиа1
Предмет: Русский язык,
автор: dimasha8
Предмет: Математика,
автор: юрец271