Предмет: Алгебра,
автор: alihantoleugaliev
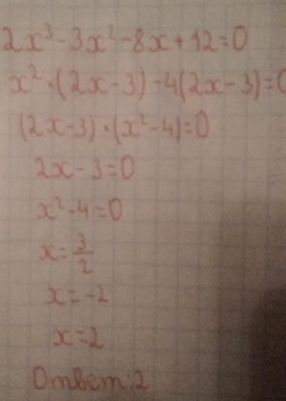
2x³-3x²-8x+12=0
10баллов уравнение
Ответы
Автор ответа:
1
Ответ на фотографии!!!
Приложения:
Похожие вопросы
Предмет: Русский язык,
автор: Dashulichka312
Предмет: Русский язык,
автор: 2015НеКиТ2015
Предмет: Русский язык,
автор: nprokhorovasl
Предмет: Математика,
автор: как315
Предмет: Информатика,
автор: zazulinkirill