Предмет: Алгебра,
автор: fdavis10
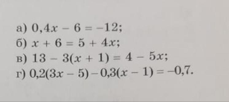
Решите пожалуйста:)) Ставлю максимальное число баллов !
Приложения:
Ответы
Автор ответа:
1
Ответ во вложении (решение уравнений)
Приложения:
Автор ответа:
0
Ответ: ответ уже дан
Объяснение:
.
Похожие вопросы
Предмет: Английский язык,
автор: Аноним
Предмет: Русский язык,
автор: pustokhaylovs
Предмет: Русский язык,
автор: ирилен
Предмет: Обществознание,
автор: VasilisaFedorovich
Предмет: Алгебра,
автор: lerayasinskaya