Предмет: Алгебра,
автор: Dzhoha055
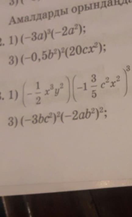
помогите пожалуйста
Приложения:
Ответы
Автор ответа:
1
Ответ:
решение смотри на фотографии
Объяснение:
Приложения:
Похожие вопросы
Предмет: Другие предметы,
автор: zvereva197764
Предмет: Английский язык,
автор: sofaeremina
Предмет: Русский язык,
автор: lera3212
Предмет: Математика,
автор: Александр656
Предмет: Химия,
автор: Маринка1418