Предмет: Математика, автор: alinaromanovskaya8

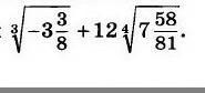
СРОЧНО!Найдите значение выражения...​

Приложения:

Ответы

Автор ответа: wnull
1

\sqrt[3]{-3\dfrac{3}{8}} + 12\sqrt[4]{7\dfrac{58}{81}} = \sqrt[3]{-\dfrac{27}{8}}  + 12\sqrt[4]{\dfrac{625}{81}}  = -\dfrac{3}{2}+12\cdot\dfrac{5}{3} = -\dfrac{3}{2} + 20 = \dfrac{37}{2} = 18,5

Похожие вопросы
Предмет: Другие предметы, автор: anastasiaa19991
Ill. Übersetzen Sie aus dem Russischen ins Deutsche. 1. Клаус и Ингрид, покажите ваши тетради! 2. Садись за стол и ешь! 3. Расскажите нам, пожалуйста, все! 4. Не опоздай сегодня на работу! 5. Бери хлеб. 6. Дайте мне, пожалуйста, эту газету. 7. Давайте останемся дома. 8. Дети, уберите свою комнату! 9. Ты плохо выглядишь, побрейся! 10. Верни мне мою книгу. 11. Запишите домашнее задание. 12. Пойдем сегодня в парк! 13. Девочки, вставайте, уже семь часов! 14. Давайте прощаться, уже поздно. 15. Не бойтесь! 16. Пей молоко и пойдем спать! 17. Побеседуй немного с гостями! 18. Сфотографируй нас, пожалуйста! 19. Будь прилежным! 20. Чисти зубы два раза в день! 21. Бабушка, почитай мне сказку! 22. Запиши, пожалуйста, мой адрес! 23. Дети, закройте дверь! 2 4. Анна и Ханс, помогите мне! 25. Назовите Ваше имя! 26. Друзья, не забывайте нас! 27. Бери книгу и читай! 28. Не опаздывайте! Помогите перевести на немецкий, пожалуйста. Просьба писать тех, кто хорошо знает язык.Заранее гигантское спасибо!