Предмет: Алгебра, автор: Аноним

сделайте в тетрадь!!!!!!!!!!! срочно пж

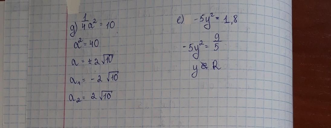
Приложения:

monktatiana656: что сделать?
monktatiana656: Можешь поставить мой ответ лучшим пожалуйста)
monktatiana656: Ага, окей

Ответы

Автор ответа: monktatiana656
1

Объяснение:

Всё решение, двух упражнений

Приложения:
Похожие вопросы
Предмет: Английский язык, автор: win7vista123
перевод Ну, Пити побежал дальше и дальше. Буй он не мог найти собаку, которая дала бы своего мальчика прочь. Пити было очень грустно. Его маленькие ножки очень устали. Моя мать была права, подумал он. Существует не мальчик, чтобы найти [невозможнонайтимальчика .) Так же, как темнело, он пришел в большое здание. Пити шел ею медленно, когда он увидел знак:. Главная для мальчиков "Может быть, я мог бы найти мальчика здесь!" Сказал Пити себе. "Эти ребята не имеют родителей, и ни одна собака, чтобы заботиться о них." Он шел медленно до дома. Он так устал он едва мог поднять свои маленькие лапы (едвапереставлялсвоилапы ). Тогда Пити остановился. Он слушал. Он слышал музыка. Он посмотрел в окно. Он увидел елку, а дети пели колядки ( новогодниепесни). Тогда Пити увидел что-то еще. В передней части здания, сам по себе (совершенноодин), сидел мальчик! Он не был очень большой мальчик, и он выглядел одиноким (одиноко), Пити дал радостный вскрикнула. Он забыл, что он устал. Он вскочил и приземлился на колени мальчика (оказалсяпаколеняхумальчика ). Sniff, нюхать, пошел носик Пити в. Взмах, шутник, пошел хвост Petcy в. Он лизнул маленький мальчик с его теплой, влажным языком. Как рад мальчик был видеть Пити! Он положил обе руки вокруг маленькой собачкой и обняла его ( обнялего ). Тогда открылась входная дверь и леди выглянул наружу. "Почему, вот ты, Рикки!" сказала она, "Что ты делаешь здесь один ( совсемодин)? Давай, и сидеть возле елки. ** Пити сидел неподвижно. Мальчик сидел неподвижно * Мальчик посмотрел на леди и вниз на Пити. Пити начал дрожать (дрожать). Будет ли мальчик пойти и оставить его {броситего) 1 * Tm не в одиночку ", сказал мальчик," У меня есть щенок. "" Щенок! "Леди вышел и посмотрел на Пити удивленно (удивленно). Может ли он прийти, тоже? "Сказал мальчик." Почему ", сказала дама," ты хороший собачка. Где ты взялся? Да, привести его в / '"Давай, щенка," воскликнул мальчик. Много мальчиков играли вокруг елки. Они бросились (бросилиськ) для Пити. Они были так счастливы видеть его. Пити вилял (вшч) свой ​​хвост. Он погрозил жира тельце. Он облизал {облизал ) каждый из мальчиков. "Можем ли мы держать его?", Сказал один, "Можем ли мы дать ему ужин?", Сказал другой . "Можем ли мы сделать его хорошим теплая постель?" Сказал третий. "Мы дадим ему немного ужин и прекрасного теплую постель," сказал lady.tomorrow мы найдем его мать и посмотреть, если она позволит ему остаться, "Пити знал, что его мать позволит ему убить. Она знала, как сильно он хотел мальчика. " Она будет удивлен. ", Сказал Пити себе, со счастливым улыбочкой," когда я ночка ей я получил пятьдесят мальчиков на Рождество! " помогите
Предмет: Другие предметы, автор: zaika20054871