Предмет: Алгебра,
автор: zarutskayaveronichka
Даю 10 баллов. Помогите плиз.
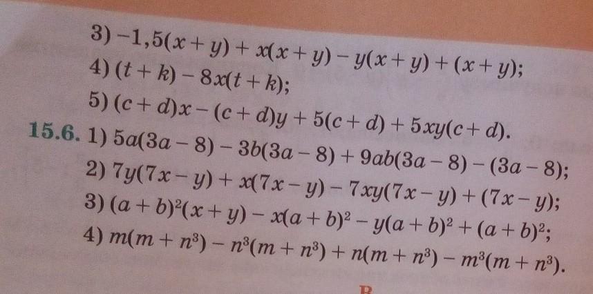
15.6 только третий пример
Приложения:
Ответы
Автор ответа:
1
Объяснение:
zarutskayaveronichka:
огромное спасибо!!! ❤️
Удачи.
Автор ответа:
1
вынести за скобки общий множитель (а+b)^2
(а+b)^2(x+y-x-y+1)=(a+b)^2*1=(a+b)^2 или можно раскрыть a^2+2ab+b^2
(а+b)^2(x+y-x-y+1)=(a+b)^2*1=(a+b)^2 или можно раскрыть a^2+2ab+b^2
Похожие вопросы
Предмет: Қазақ тiлi,
автор: vossen14
Предмет: Русский язык,
автор: dilya1188
Предмет: Другие предметы,
автор: MARISHKAZHDANOVA0004
Предмет: Математика,
автор: anka110
Предмет: Математика,
автор: олрорпулеалпвллпа