Предмет: Алгебра, автор: ilkakanada

помогите пожалуйста дам много баллов ​

Приложения:

Ответы

Автор ответа: parus77
0

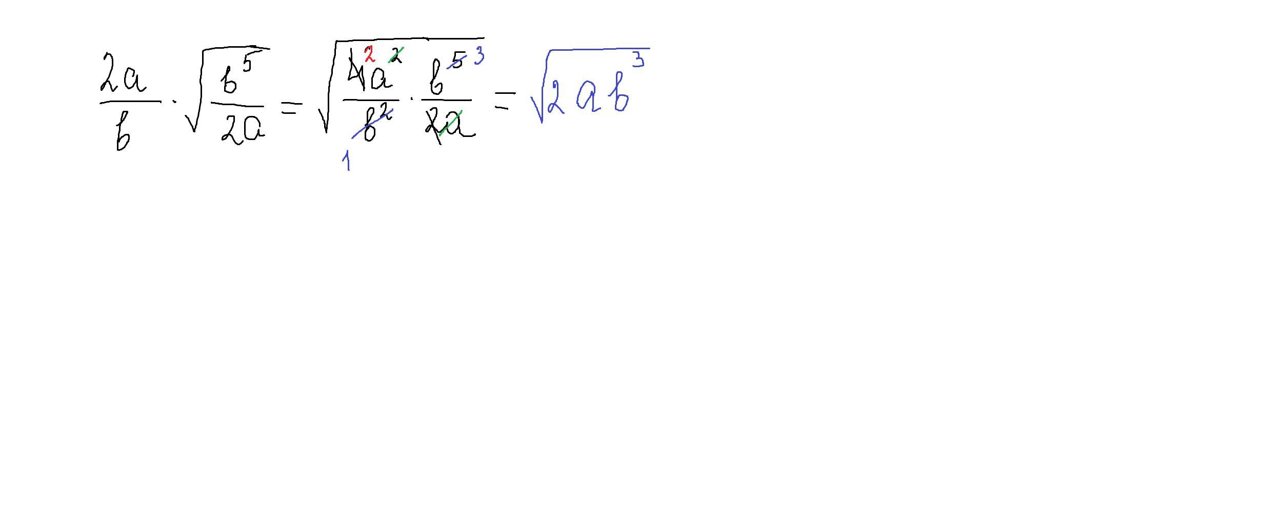
Ответ:

√2ав³

Объяснение:

решение внизу

Приложения:
Похожие вопросы
Предмет: Английский язык, автор: Manechkamarbiizova
The Present Simple Tense (Настоящее простое время), the Present Continuous Tense (Настоящее продолженное время)
Exercise 1. Open the brackets using The Present Simple.
1. The grandmother usually (to run) about in the garden.
2. We (to do) my homework in the evening.
3. Jess and his friends (to go) to the library every Wednesday.
4. I (to sit) at my desk and (to study) history after school.
5. My grandfather usually (to stand) at the balcony and (to smoke) a cigarette.
6. The old woman (to walk) about the room.
7. Their big dog usually (to lie) on the floor.
8. They (to have) a break after lessons?
9. What language he (to study)?
10. Who (to lie) on the sofa in the evening?

Exercise. Open the brackets using The Past Simple Tense or The Present Simple Tense.

1. We (to go) to bed at eleven o'clock every day.
2. He (to go) to bed at ten o'clock yesterday.
3. They (not to go) to the cinema every day.
4. My friends (not to go) to the cinema yesterday.
5. Your cousin (to watch) TV every day?
6. His relatives (to watch) TV yesterday?
7. When they (to leave) home for school on Monday?
8. When he (to leave) home for school yesterday?
9. My cousin (to go) to factory every day.
10. She (to leave) home at a quarter past eight.
11. He (to work) at an office near the house.
12. They (not to take) a tram.
13. Yesterday they (to get) up at nine o'clock,
14. I (to have) English lesson yesterday.
15. What he (to buy) at the shop yesterday? - He (to buy) a book.
16. Yesterday my father (not to eat) supper because he (to be) very busy.
17. Our granny (to cook) a very tasty breakfast yesterday.
18. The girl (not to write) articles every day.
19. You (to see) your classmates yesterday?
20. Her father (to go) on a business trip last year?