Предмет: Геометрия,
автор: ViktorY096
Помогите с задачами
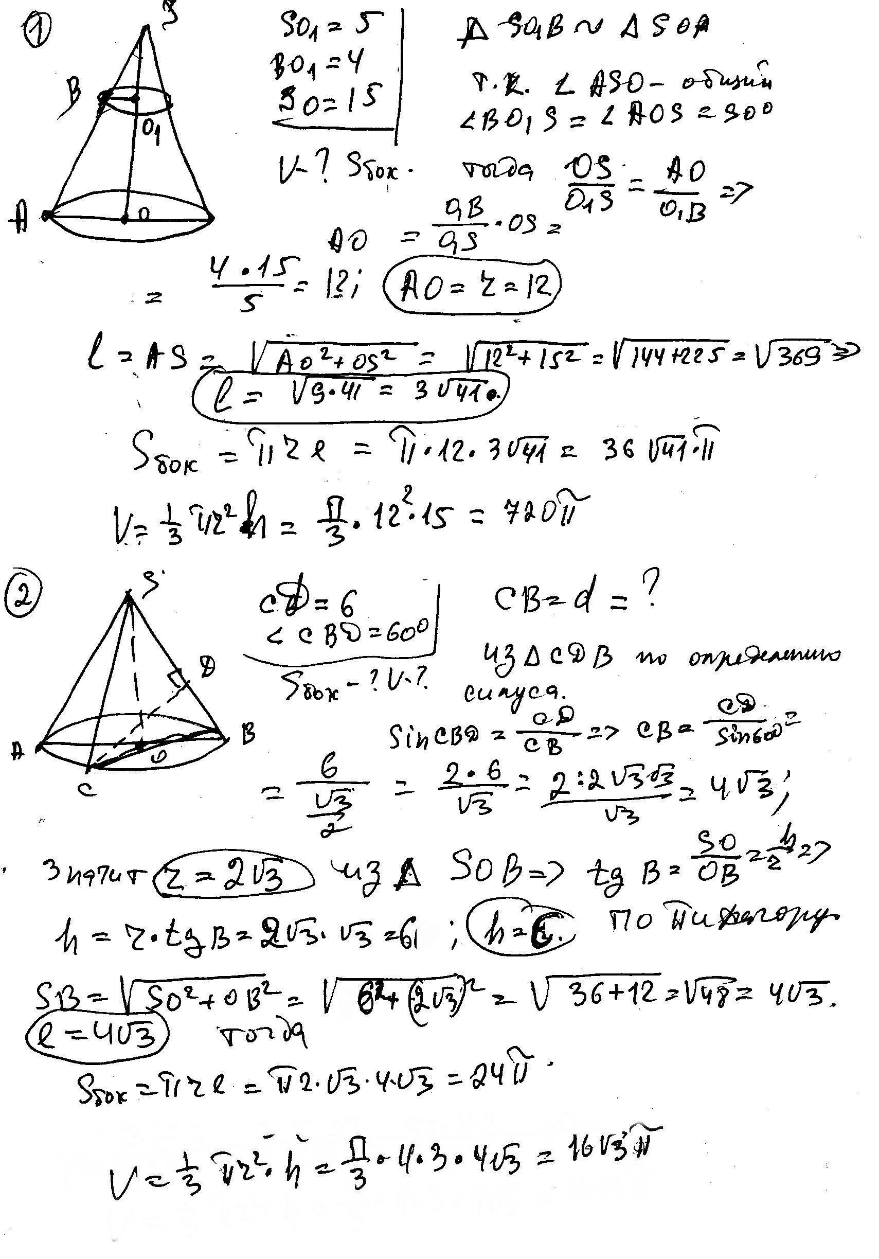
SO - высота конуса. Найдите объем и площадь боковой поверхности конуса.
Две задачи (рис. во вложениях)
Приложения:
Ответы
Автор ответа:
0
SO - высота конуса. Найдите объем и площадь боковой поверхности конуса.
Две задачи (рис. во вложениях)
Две задачи (рис. во вложениях)
Приложения:
Похожие вопросы
Предмет: Русский язык,
автор: Bogdan374
Предмет: Русский язык,
автор: hiskind1
Предмет: Математика,
автор: nkolava00
Предмет: Физика,
автор: ABC1234567