Предмет: Информатика, автор: valeragayfrend

v0 = input("Введите начальную скорость движения: ")

v = input("Введите конечную скорость движения: ")

t = input("Введите время движения: ")

a = (v - v0) / t

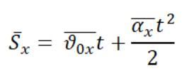
S = v0 * t + (a * t)**2 / 2

print(S)


Машина движется по прямой дороге с постоянным ускорением. Пользователь вводит начальную и конечную скорость автомобиля, а также время его движения. Необходимо вывести, какое расстояние преодолеет машина. Исправь ошибки в программе и формулах.

Программа должна вывести, чему равно перемещение на основе полученных данных от пользователя по указанным в подсказках формулам.

Приложения:

uagamertv2005: это Python да?
valeragayfrend: да

Ответы

Автор ответа: DoBroLex
1

Ответ:

Полноценное решение с формулами:

v0 = int(input("Введите начальную скорость движения: "))

v = int(input("Введите конечную скорость движения: "))

t = int(input("Введите время движения: "))

a = (v - v0) / t

s = v0 * t + (a * t**2)/ 2

print(s)

Объяснение:

Сверху записан ответ с применением формул, но можно решить рациональнее:

v0 = int(input("Введите начальную скорость движения: "))

v=int(input("Введите конечную скорость движения: "))

t=int(input("Введите время движения: "))

print(0.5*t*(v0 + v))

А если применить множественное присваивание, будет всего 2 строки кода:

v0,v,t = int(input("Введите начальную скорость движения: ")),int(input("Введите конечную скорость движения: ")),\

        int(input("Введите время движения: "))

print(0.5*t*(v0 + v))

Похожие вопросы
Предмет: Русский язык, автор: aliferov2612