Предмет: Алгебра, автор: vityamath

Решите уравнение:
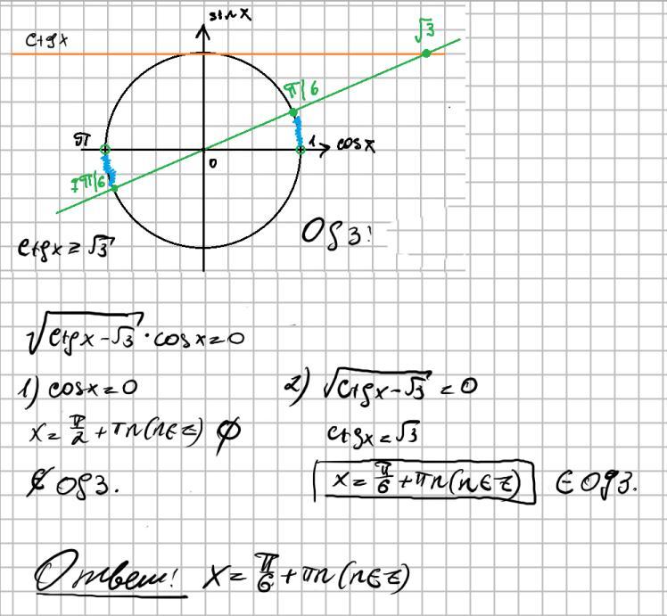
\sqrt{ctgx-\sqrt{3} }* cosx=0

Ответы

Автор ответа: iosiffinikov
0

Ответ:

х=pi/6+pi*n,где n =любое целое

Объяснение:

Надо  рассмотреть два множества решений cos(x)=0  и ctg(x)=sqrt(3). (здесь sqrt(3) -корень квадратный из трёх)

Однако, если cos(x)=0 , то  ctg(x)=0 и подкоренное выражение отрицательно, значит решения не подходят по ОДЗ.

Остаются ctg(x)=sqrt(3) , т.е. х=pi/6+pi*n,где n =любое целое

Автор ответа: Ilyazov45
1

Ответ:

x=\frac{\pi }{6}+\pi n,(n\in\mathbb Z)

Объяснение:

На фото

Приложения:
Похожие вопросы
Предмет: Русский язык, автор: igrumashamedved
Предмет: Математика, автор: mindumelena