Предмет: Алгебра, автор: Аноним

Помогите пж
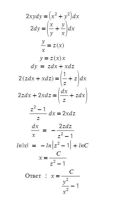
Дифференциальные уравнения

Приложения:

Ответы

Автор ответа: Decoration
1

Ответ:

Объяснение:

1) \frac{dy}{dx} =1+y\\ \frac{dy}{1+y} =dx\\\\ln|1+y|+lnC=x\\C(1+y)=e^x

Приложения:

Decoration: они решены в картиночках, если не видно могу написать заново
Похожие вопросы
Предмет: Русский язык, автор: dimazx20000
Предмет: Английский язык, автор: Saswich
Упражнения «Simple Tenses» - Present Simple
I. Преобразуйте следующие предложения в вопросительные и отри¬ цательные:
1. Не knows the answer to this question. 2. He leaves home at eight o'clock. 3. The last train arrives at midnight. 4. It is important to choose a good job. 5. They refuse to help us. 6. This job suits his abilities well enough.
II. Употребите глагол в третьем лице единственного числа, пользуясь образцом: I think I 'm right. - Не thinks he is right.
1. I always keep my problems to myself. 2. What do they do for a living? They work in an office. 3. I don't think I'm right. 4. We always examine facts carefully. 5. They refuse to do what is called low work. 6. Teachers are well aware that their work is necessary to society. 7. You often speak too fast. 8. Don't you see that your work is very important to us?
III. Раскройте скобки, употребив глаголы в the Simple Present Tense:
1. I generally (to get up) at 8 o'clock. 2. Our lecturer (to speak) very good English. 3. He (to be) always in a hurry. 4. In Britain today, all children (to start) their education at the age of five. 5. She (to plan) to go to Britain next month. 6. Uranus (to revolve) around the Sun once in 84 years. 7. Students' delegation (to arrive) tomorrow. 8. The Prime Minister of Britain always (to live) in 10 Downing Street. I always get up at 7 a.m.. I do not always get up at 7 a.m.. Do you always get up at 7 a.m.? She usually quarrels on trifles. She does not usually quarrel on trifles. Does she usually quarrel on trifles?9. Children whose parents (to read) a great deal usually (to become) good readers themselves. 10.Some readers (to avoid) books on the best-seller list