Предмет: Математика,
автор: zxcv1020
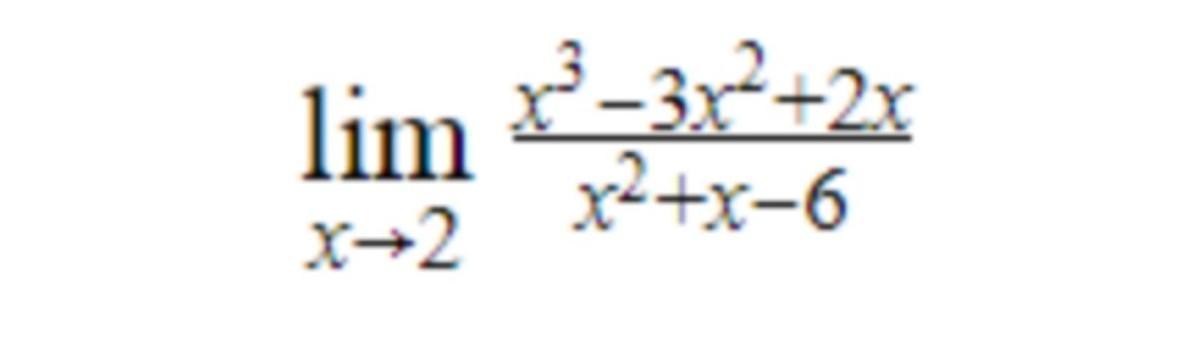
Найдите предел функции в точке
Приложения:
Ответы
Автор ответа:
1
Ответ:
решение на фотографии
Приложения:
Похожие вопросы
Предмет: Русский язык,
автор: Анюта451
Предмет: Русский язык,
автор: нарик24
Предмет: Английский язык,
автор: Маша048
Предмет: География,
автор: RFHBYF456