Предмет: Математика,
автор: Аноним
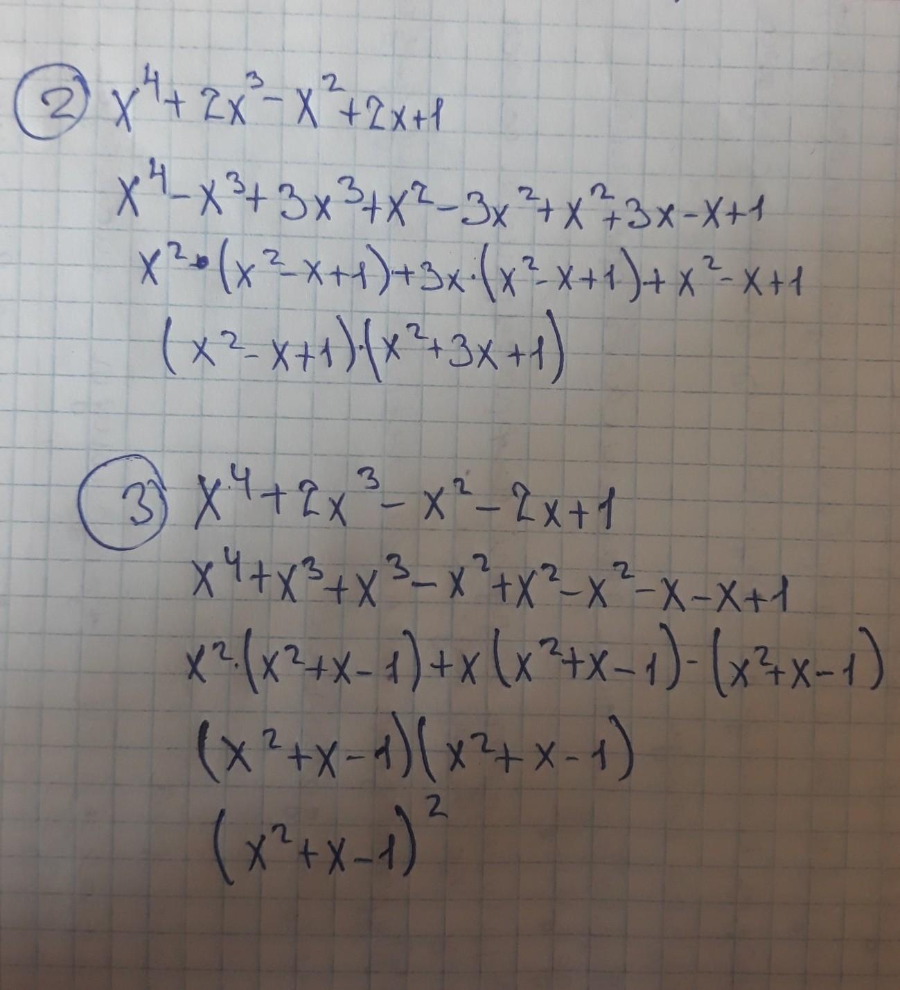
Найдите корни симметрического многочлена
2)x⁴+2x³-x²+2x+1
3)x⁴+2x³-x²-2x+1
Ответы
Автор ответа:
1
Ответ:
удачиииииии♥️♥️♥️♥️♥️♥️
Приложения:
Похожие вопросы
Предмет: Русский язык,
автор: svetik8623
Предмет: Другие предметы,
автор: ulchek2539
Предмет: Русский язык,
автор: elpa1974
Предмет: Математика,
автор: YouTubeLPSЧжоу
Предмет: Биология,
автор: gravelmoon