Предмет: Алгебра,
автор: futbolcr682
плиз помогите пожалуйста
Приложения:
futbolcr682:
serovaksusa1 пожалуйста помогите у вас главный мозг
15469 баллов вааааааааааааааааааааааааааааааааааааааааааааааааааааааааааууууууууууууууууууу
Ответы
Автор ответа:
0
Ответ:
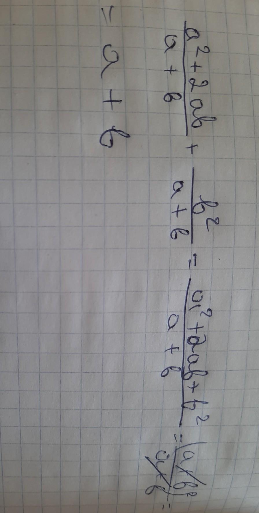
ОТВЕТ: а+b
=(a+b)²/a+b=a+b
Автор ответа:
0
Ответ:
вот короче лови
тупые 20 символов мешаете
Приложения:
Похожие вопросы
Предмет: Русский язык,
автор: svetaprosto1
Предмет: Английский язык,
автор: DIANA78829334900
Предмет: Русский язык,
автор: ваня2033
Предмет: Музыка,
автор: дипр