Предмет: Алгебра,
автор: alyakatlabuga
очень срочно.
задание на фото.
Приложения:
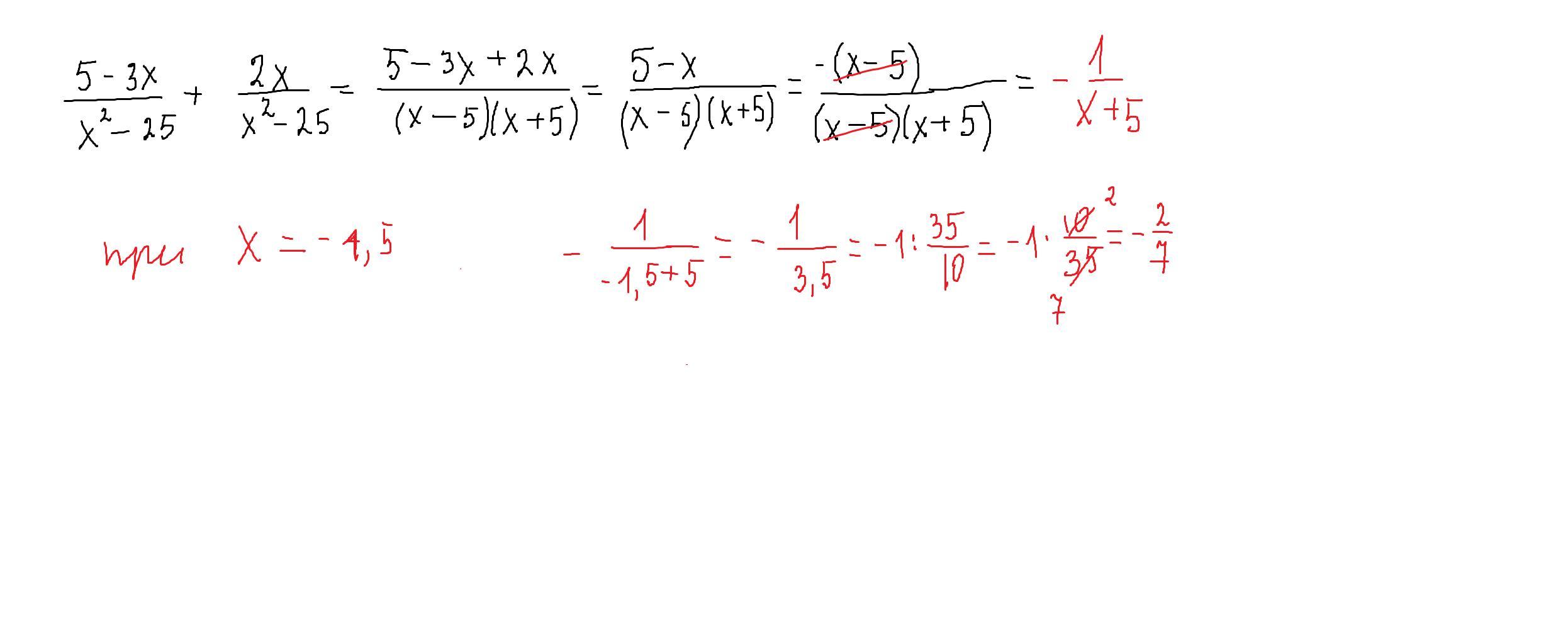
Ответы
Автор ответа:
1
Ответ:
-2\7
Объяснение:
решение внизу
Приложения:
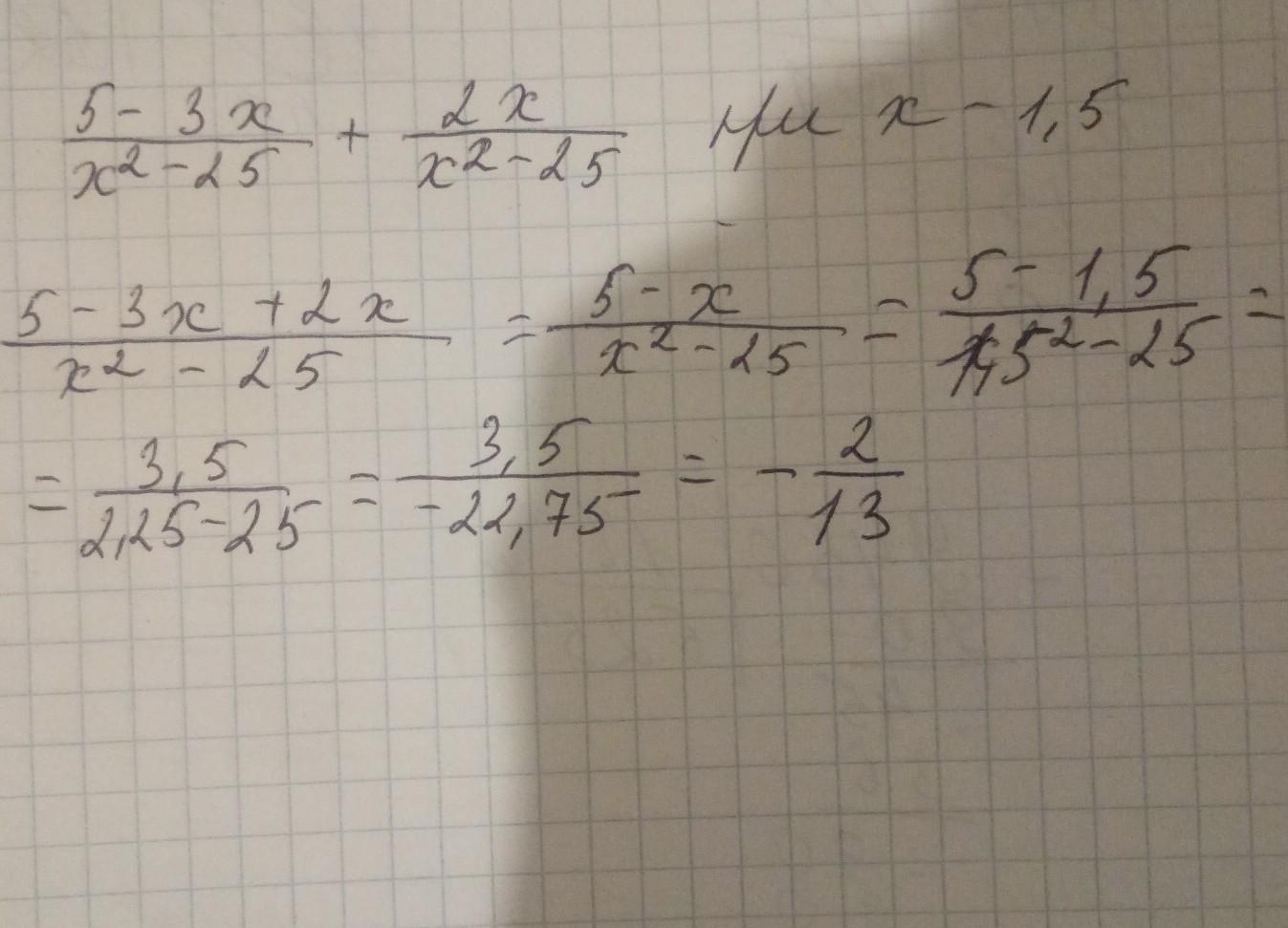
Автор ответа:
1
Ответ:
вот, надеюсь понятно, тут все подробно
Приложения:
Похожие вопросы
Предмет: Русский язык,
автор: юля112004
Предмет: Другие предметы,
автор: kuramov2004
Предмет: Русский язык,
автор: Alinochka1234567
Предмет: География,
автор: adlet2302