Предмет: Алгебра,
автор: keru28
8 класс с решением очень срочно
Приложения:
Ответы
Автор ответа:
0
Ответ:
Автор ответа:
1
Ответ:
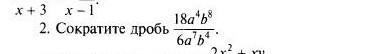
3b^4 / a^3
Объяснение:
18a^4 b^8 / 6a^7 b^4 = 3a^4 b^8 / a^7 b^4 = 3a^4 b^4 / a^7 = 3b^4 / a^3
Похожие вопросы
Предмет: Английский язык,
автор: dasha251556
Предмет: Русский язык,
автор: Аноним
Предмет: Русский язык,
автор: Kolotovanastya
Предмет: Физика,
автор: marina18101999
Предмет: Алгебра,
автор: irusi9na