Предмет: Английский язык,
автор: egor17080636
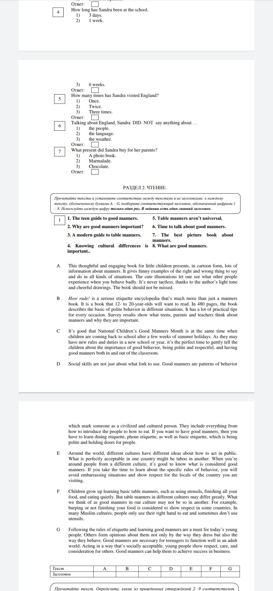
Пж, помогите!!! Дам 50 баллов!!!Прочитайте тексты и установите соответствие между текстами и их заголовками: к каждому
тексту, обозначенному буквами A – G, подберите соответствующий заголовок, обозначенный цифрами 1
– 8. Используйте каждую цифру только один раз. В задании есть один лишний заголовок.
Приложения:
Ответы
Автор ответа:
4
Ответ:
А-7
В-1
С-6
D-8
E-4
F-5
G-2
Объяснение:
На мой взгляд лишний №3
Автор ответа:
1
Не уверена что всё правильно, но вот на моё мнение ответы:
1.G
2.B
3. лишнее
4. E
5. F
6. C
7. A
8.D
Похожие вопросы
Предмет: Английский язык,
автор: kalinovskaya63
Предмет: Русский язык,
автор: merkuriy3214
Предмет: Русский язык,
автор: Eva864
Предмет: Алгебра,
автор: lerastail13